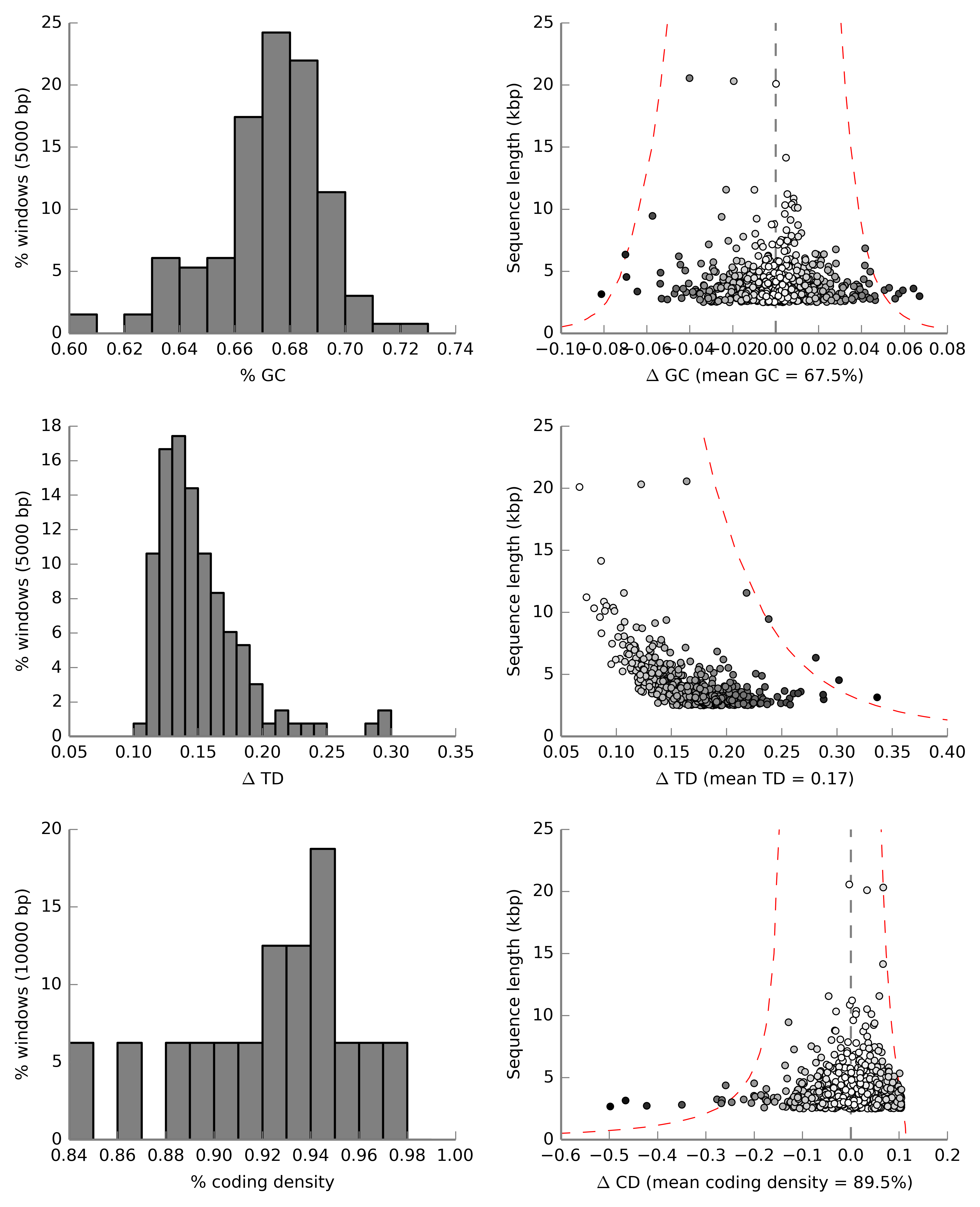
Back to summary

Bin: bin.002